How do Germany’s new private universities compare to their long-established public counterparts in terms of research performance?
This is the central question we examine in our new MAGKS Discussion Paper „New players, different output? A longitudinal analysis of research dynamics at German public and private universities.“ The study was conducted by Stefan Buechele, Matthias Huegel, Valon Kadriu, and Johannes Koenig. We analyze research-related input and output measures for all economics and business faculties from research active public and private universities between 2001 and 2020.
Over the past two decades, private universities have gained ground in the German higher education system. Their share of institutions has more than doubled, and they have expanded rapidly, particularly in business-related fields. But how have they performed in research, where public universities traditionally hold a dominant role?
Using a broad set of indicators – including staffing, third-party funding, publication quantity and quality – we find notable differences between public and private institutions. Most strikingly, private universities partly outperform public universities in terms of average publications per researcher.
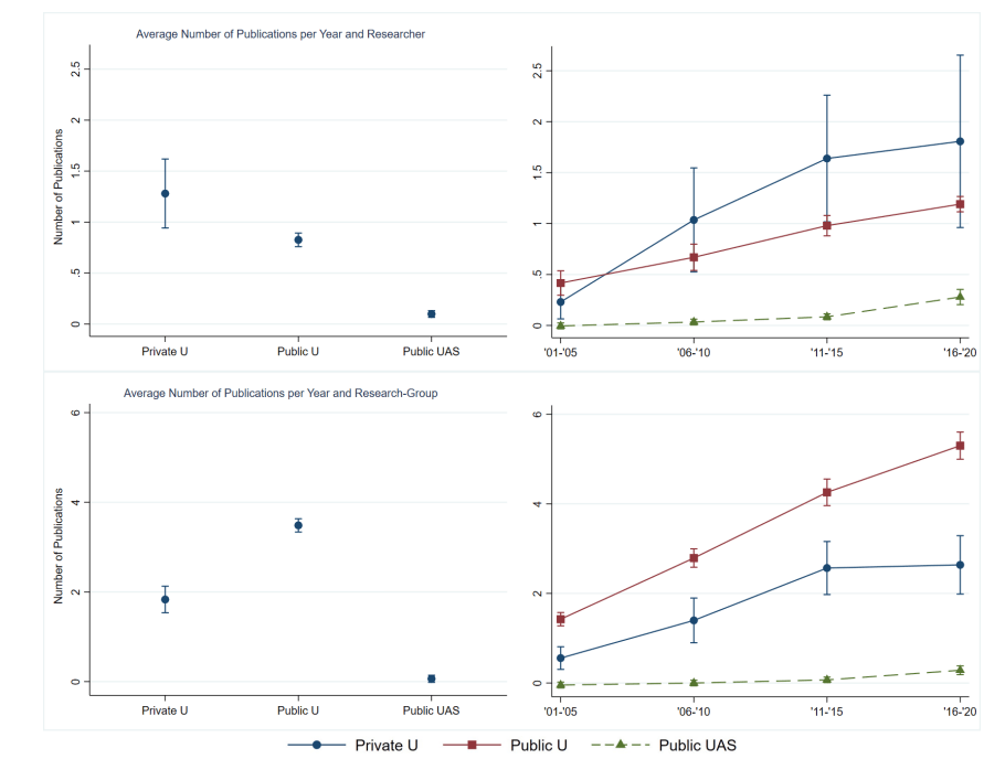
Figure 5: Average annual publications per researcher and research group

As Figure 5 shows, private universities have produced more publications per researcher than public universities since 2010. This is despite having fewer academic staff overall and almost no access to prestigious public funding programs such as the DFG. In contrast, public universities still lead in publications per research group.
Our findings may reflect the different institutional logics of public and private universities. Public universities operate in a system geared toward long-term fundamental research and public service. They benefit from established reputations and stable public funding. Private universities, on the other hand, face stronger market pressures. They are typically smaller, more specialized, and must justify their existence through visible performance, especially in terms of publication output and internationalization. These pressures appear to have led to highly focused strategies aimed at research efficiency and quality.
Main takeaways
- Since 2010, private universities have surpassed public ones in individual research productivity.
- Public universities continue to dominate in third-party funding and publications per research group.
- Private universities publish in higher-ranked journals and achieve more citations per article.
- Institutional isomorphism is visible in strategy, but not in funding structures or team composition.
You can read the full paper here:
06-2025.pdf